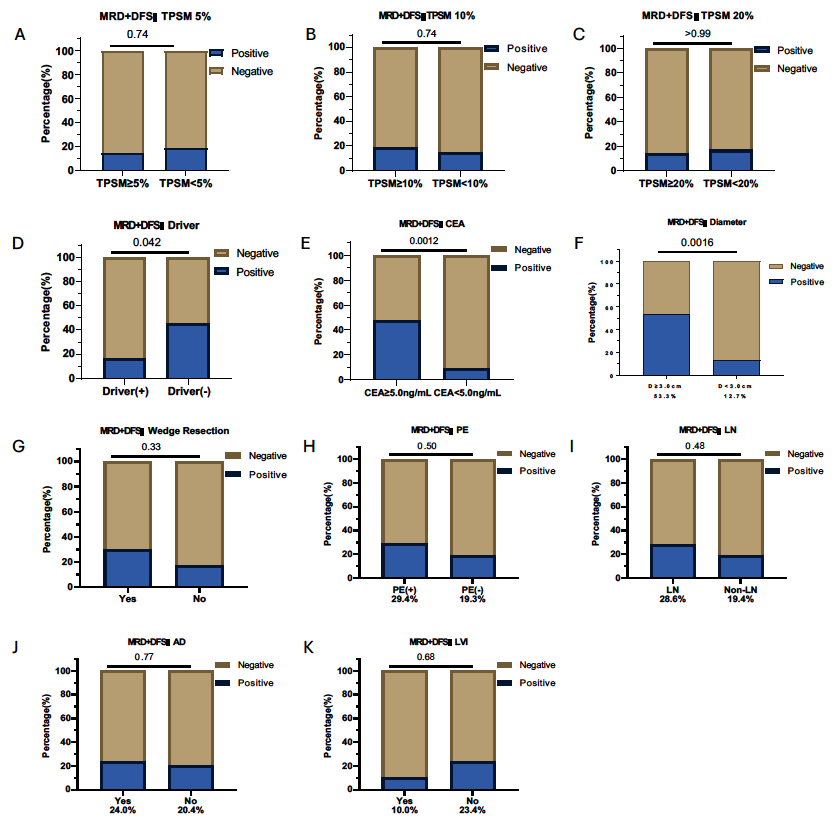
导语 肺癌是全球癌症相关死亡的主要原因,其中非小细胞肺癌(NSCLC)是最常见的亚型。对于早期NSCLC患者,手术切除是标准治疗方案,但术后复发风险的管理仍是临床面临的关键挑战。 昆明医科大学第一附属医院施云飞教授团队与37000vip威尼斯合作,基于37000vip威尼斯一号®大Panel和术宁Ultra®检测,不仅证实了ctDNA MRD对早期复发的预测价值,更创新性整合临床风险因素构建CRF评分系统,为精准识别复发高危人群提供了新工具。相关成果已于近日发表在BMC Cancer。 研究内容 这是一项前瞻性观察研究,纳入可手术切除的78名I-IIIA期NSCLC患者,于基线及术后的六个时间点(术后3-7天,术后6、12、15、18、21个月)采集血液样本,并收集手术组织标本,进行ctDNA MRD动态检测分析。同时收集患者的临床病理资料,探讨其与MRD阳性及疾病复发的关联。 1、MRD是NSCLC术后复发的超早期预警信号 研究发现,术后动态监测的MRD阳性率为20.5%(16/78)。所有9例出现影像学复发的患者均提前检测到MRD阳性,从MRD阳性检出到影像学确诊复发的中位提前时间达242天(约8个月)。生存分析结果显示,MRD阳性患者的无病生存期(DFS)显著短于MRD阴性者(中位 DFS:503.0 天 vs 未达到;HR=171.4),提示MRD阳性状态与患者术后复发风险显著相关(图1)。 图1. 术后MRD动态监测可较影像学提前预测肿瘤复发 2、临床风险因素可有效预测MRD阳性与复发 研究进一步收集入组患者的肿瘤分期、驱动基因突变、CEA水平及组织病理学特征等临床因素,分析其对MRD阳性状态及疾病复发的预测价值。研究证实,较晚的肿瘤分期(II-IIIA期)、驱动基因阴性、基线CEA水平≥5.0 ng/mL,是MRD阳性及疾病复发的显著风险因素(图2)。 图2. 不同临床病理因素与MRD状态之间的关系 3、整合临床风险因素构建的CRF评分可实现MRD阳性/复发风险精准分层 整合II-IIIA期、驱动基因突变状态及CEA水平≥5.0 ng/mL三个临床风险因素,研究进一步构建了CRF评分系统(每个风险因素计1分,累计得分即为CRF评分)。结果显示,CRF评分低风险(CRF分数为0)患者的MRD阳性/DFS事件率(0.0%)显著低于高CRF组(36.3%),且无事件生存期显著延长(中位DFS:513.0天 vs 未达到,HR=9.0);同时,随着CRF评分升高(0分,1分,≥2分),患者的MRD阳性/复发事件率呈明显上升趋势,依次为0%、26.9%和50.0%。 进一步分析发现,CRF评分与临床分期密切相关,II-IIIA期患者均为中高CRF风险,而部分IA/IB期患者也被归为高风险(图3),说明CRF评分可在传统临床分期基础上进一步细化风险分层,尤其能识别出早期(IA/IB 期)中的隐匿高风险患者。 图3. CRF评分在肺癌术后复发风险预测中的作用 研究结论 本研究证实,MRD监测在早期非小细胞肺癌术后管理中具有重要价值,结合临床风险因素构建的CRF评分系统,能够有效识别出真正具有高复发风险的患者,指导临床制定个性化的辅助治疗和监测策略,从而优化医疗资源配置,改善患者预后。 施云飞教授寄语: 在我们的临床实践中,ctDNA-MRD检测主要应用于以下三个方向:1)进行风险分层与预后评估,为临床治疗决策提供依据;2)基于ctDNA-MRD的定性、定量变化,评估治疗响应、检测耐药转归,实现对治疗过程的动态精准监测;3)在影像学进展之前提示复发\进展\死亡风险,为临床及早干预创造宝贵的时间窗口,从而改善患者的生存及预后。 专家简介 施云飞 教授 昆明医科大学第一附属医院 胸外二科主任 主任医师、硕士生导师 中华医学会云南省胸心血管外科专业委员会副主委 中国医师协会胸心血管外科分会委员 中国南方肿瘤临床研究学会肺癌专业委员会委员 云南省抗癌协会肺癌专业、食管癌专业委员会副主委 云南省抗癌协会微创胸外科专业委员会副主任委员 云南省抗癌协会小细胞肺癌专业委员会副主任委员 云南省医师协会《肿瘤转化医学医师分会》副主委 中国肺癌防治联盟云南省分盟委员 云南省预防医学会肺癌专业委员会副主委 参考文献 Shi, Yunfei, et al. "Characterization of clinical risk factors for enhanced molecular residual disease monitoring in resected early-stage non-small cell lung cancer." BMC cancer (2025).


