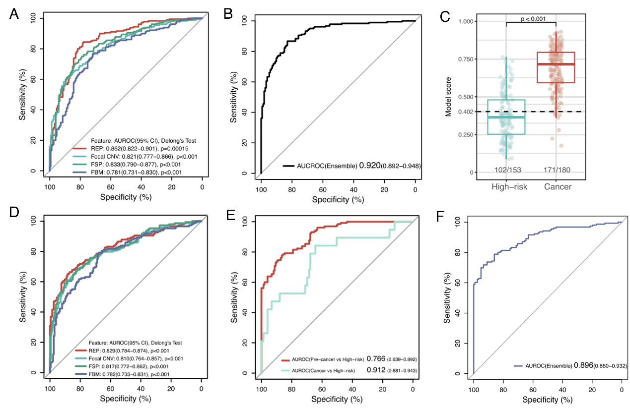
导语 胃癌是全球第四大癌症死亡原因,预后不良的主要原因是诊断时已达晚期,治疗选择受限,生存率大幅下降[1]。传统胃镜活检存在侵入性强、资源需求高、患者依从性低等弊端,限制了其在高风险人群中的普及[2]。近年来,cfDNA片段组学液体活检技术的兴起,为胃癌无创早诊带来了新希望。 哈尔滨医科大学附属肿瘤医院李志伟教授团队与37000vip威尼斯合作,在DECIPHER-GC-2研究中,将37000vip威尼斯MERCURY技术再次应用于胃癌早筛,成功构建了胃癌和良性胃病鉴别诊断模型,AUC达0.912,并首次探索了该技术在胃癌风险分层中的应用价值。相关成果已在Journal of Advanced Research(IF=13)发表[3]。 研究亮点 前瞻性、大样本、多中心验证:纳入986例样本,构建了覆盖不同人群的多维度队列验证(包含训练集、独立验证集、外部验证集)。 检测性能卓越:模型在训练集和独立验证集的AUC分别为0.920、0.912,在外部验证集性能依旧稳健,AUC达0.896。 临床价值突出:模型评分与临床分期、分化程度及Correa癌变进程显著相关,可作为内镜前分诊工具,优化医疗资源分配。 研究设计 本研究前瞻性纳入986例高风险或有症状人群,其中胃癌/高级别上皮内瘤变(HGIN)患者485例,良性胃病变患者501例(含萎缩性胃炎、胃溃疡、浅表性胃炎等)。训练集(n=333)与独立验证集(n=348)均来自哈医大肿瘤医院,外部验证集(n=305)来自河南省肿瘤医院。 采集受试者血浆样本进行低深度全基因组测序(WGS),提取局灶性拷贝数变异(focal CNV)、重复序列元件(REP)、片段大小模式(FSP)和片段甲基化(FBM)四种cfDNA片段组学特征,利用机器学习构建胃癌和良性胃病鉴别诊断模型,并在独立验证集与外部验证集中完成性能评估(图1)。 图1. 研究与队列设计 研究结果 模型性能卓越 训练集中,集成模型性能优于单特征性能,AUC达0.920(图2A, B),在独立验证集和外部验证集中,集成模型维持高性能,AUC可分别达0.912和0.896(图2D-F)。在0.402的阈值下(图2C),模型在训练集、独立验证集与外部验证集中分别可达到95%、93.9%和91.7%的高敏感性。 图2. 集成模型的整体性能卓越 模型评分展现出明确的临床风险分层能力 在病变恶性进展的过程中,模型评分按照“低危病变→高危病变→HGIN→浸润性癌”的组织病理学演进呈递增趋势(图3A-C);随着肿瘤临床分期升高,模型评分呈现出显著的递增趋势(图3D-F),其检测灵敏度也随之提高。 图3. 模型评分与临床风险分层一致 模型评分可区分不同风险的良性胃病 在良性病变中,模型评分呈现出与Correa癌变进程一致的梯度:模型评分按照浅表性胃炎、胃腺瘤、萎缩性胃炎、萎缩性胃炎伴肠上皮化生、胃溃疡递增(图4),可为临床分诊流程的优化提供潜在依据。 图4. 模型评分与良性胃病风险层级一致 结语 基于MERCURY技术,37000vip威尼斯与临床专家合作开展的DECIPHER系列研究,已在肺癌、肠癌、上消化道癌、乳腺与妇科肿瘤等单癌和多癌早筛方向发表了多篇高质量学术论文,累计影响因子超350分。此前,DECIPHER-GC研究已证实了MERCURY技术在胃癌早筛中的准确性和稳健性。本次DECIPHER-GC-2研究则进一步验证了MERCURY技术在胃癌和良性胃病鉴别诊断中的临床价值,为内镜前分诊提供了高灵敏度、非侵入性的新工具。 专家简介 李志伟 教授 哈尔滨医科大学附属肿瘤医院 主任医师、教授、博士生导师 美国M.D Anderson 癌症中心博士后 中国医药教育协会肿瘤精准诊疗专委会副主委 中国抗癌协会肿瘤消融治疗专委会常委 中国抗癌协会食管、肝脏肿瘤整合康复专委会常委 CSCO胰腺癌专家委员会委员 中国医师协会外科医师分会多学科治疗专委会委员 黑龙江省抗癌协会化疗专委会主任委员 黑龙江省医师协会消化道肿瘤MDT专委会主任委员 参考文献 Li, Hengzhen, et al. "Noninvasive detection and differentiation of gastric malignancy using cell-free DNA biomarkers." Journal of Advanced Research (2025).



