
第25届全国临床肿瘤学大会暨2022年CSCO学术年会于11月5日-12日盛大召开。本届大会围绕“精准创新 智慧人文”的主题,邀请国内外专家学者共话最新科研成果、交流实践经验。37000vip威尼斯与南京大学医学院附属鼓楼医院肿瘤中心邹征云教授团队合作,肢端黑色素瘤相关研究成果以口头汇报形式亮相CSCO年会。
图1. 引自CSCO大会专场日程
肢端黑色素瘤(Acral Melanoma,AM)是中国黑色素瘤患者最常见的亚型,长期生存率不佳。多项研究表明,分子特征和肿瘤微环境浸润对提示癌症患者预后具有重要价值,但围绕中国人群AM患者展开的研究有限。基于此,南京大学医学院附属鼓楼医院肿瘤中心邹征云教授团队与37000vip威尼斯合作,针对中国人群AM患者的临床病理、基因变异和免疫微环境进行综合分析,系统性揭示了AM患者的免疫微环境特征,并探索了多维度特征对AM患者的预后提示价值。
专家简介
邹征云 教授
教授、主任医师,博士生导师
南京鼓楼医院肿瘤中心主任医师
南京大学博士研究生导师
南京鼓楼医院江北国际医院副院长
浦口区政协第五届委员会委员
江苏省免疫学会肿瘤免疫专业委员会副主任委员
江苏省研究型医院学会生物治疗学专委会副主任委员&秘书长
江苏省抗癌协会肿瘤标志专业委员会副主任委员
中国临床肿瘤学会(CSCO)恶性黑色素瘤专业委员会常务委员
中国中西医结合学会皮肤性病委员会皮肤肿瘤学组副组长
中国研究型医院学会生物治疗学专委会常务委员
国家癌症中心国家肿瘤质控中心黑色素瘤质控专家委员会委员
江苏省六大高峰人才
国家自然科学基金评审专家
研究亮点
1. 真实世界大样本量(n=90)、多维度预后特征研究;
2. 首次系统揭示肢端黑色素瘤免疫微环境特征;
3. 深入探索了基因与免疫微环境影响预后的机制。
研究内容
本研究共入组南京市鼓楼医院90例肢端黑色素瘤患者【其中44.4%为预后较差的肢端雀斑样黑色素瘤(Acral lentiginous melanoma,ALM)】,对全部患者基线组织进行37000vip威尼斯一号® 大Panel检测和多重免疫组化(mIHC)检测,结合临床特征和生存信息,分析得到中国人群大样本量AM患者的分子特征、免疫微环境特征及预后相关生物标志物。
1. CDK4扩增和PTPN11突变的AM患者预后显著更差
患者的临床特征分析显示:年龄、临床分期、组织亚型,以及是否治疗与预后相关。分子特征分析发现9个基因突变(NSD1、KDM5A、LHCGR、PTPN11、MAP3K1、ERBB3、CDK4、MDM2、TERT)可能与总生存(OS)相关(p≤0.1)。经上述临床因素校正后,CDK4扩增和PTPN11突变仍具有显著相关性(表1)。CDK4扩增的患者与野生型患者相比,中位OS显著缩短【28.6个月 vs. 未达到(NR)】;PTPN11突变的患者与野生型患者相比,中位OS同样显著缩短(23.4个月 vs. 60个月)(图1)。
表1. 分子特征多因素分析
图1. CDK4扩增和PTPN11突变的患者预后更差
2. 间质区M1型巨噬细胞高浸润的AM患者预后显著更佳
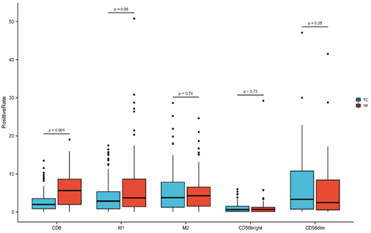
肿瘤免疫微环境(Tumor immune microenvironment,TIME)中免疫细胞浸润及空间分布与肿瘤进展、临床预后密切相关,因此本研究首次系统探索了AM患者的免疫微环境特征。结果表明,AM患者的TIME以CD8+ T细胞、巨噬细胞和CD56dim NK细胞浸润为主;空间分布上,CD8+ T细胞(p<0.001)和M1型巨噬细胞(p=0.05)在肿瘤间质区(Invasive Margin,IM)浸润显著更多(图2)。进一步分析发现,IM-M1型巨噬细胞高浸润的AM患者,中位OS显著延长(NR vs. 40.1个月),并且是独立预后因素(HR=0.34,95% CI=0.20-0.95,p=0.03)(表2)。
图2. 肢端黑色素瘤免疫细胞浸润
表2. 免疫微环境特征多因素分析
3. 间质区M1型巨噬细胞(IM-M1)低浸润可能是CDK4扩增患者预后差的原因
为了更进一步探究基因特征影响预后的机制,本研究对AM患者预后相关基因和免疫细胞浸润进行了相关性分析。首次发现CDK4扩增的AM患者免疫微环境中IM-M1型巨噬细胞倾向于更低(p=0.06),CDK4扩增阳性患者中IM-M1型巨噬细胞低浸润比例高达68.7%,而阴性患者中IM-M1型巨噬细胞低浸润比例仅为41.7%(图3)。结合M1型巨噬细胞的抗肿瘤生物学功能,以及IM-M1型巨噬细胞对AM患者的正向作用,或可解释CDK4扩增患者预后差的原因。
图3. CDK4扩增与IM-M1型巨噬细胞浸润的相关性
总结
本研究运用37000vip威尼斯一号®大Panel和mIHC技术全面展示了中国人群肢端黑色素瘤患者的分子特征和免疫微环境特征,探索出影响AM患者预后的生物标志物——CDK4扩增、PTPN11突变和IM-M1型巨噬细胞浸润,并首次揭示了CDK4扩增可能通过影响间质区M1型巨噬细胞浸润导致AM患者的不良预后,这一原创性发现为优化中国人群AM患者的预后预测和治疗策略提供了新思路。
37000vip威尼斯自成立以来,近十年栉风沐雨不断深耕肿瘤精准治疗领域,愿携手更多临床专家,发现更多有意义的预后相关标志物,帮助更多患者实现“肿瘤,不应是一场宣判”的美好愿景。
相关阅读
作者:河豚 审核:Gloria 排版:Moro