
导读
食管癌(EC)是常见的恶性肿瘤之一。局晚期或转移性食管癌患者的标准治疗方案以放化疗为主,二线常用治疗方案则以免疫治疗为主。这部分患者治疗后生存率虽有一定改善,但依然有限。因此,临床迫切需要更精准且有效的治疗手段来提高局晚期或转移性食管癌患者生存率。基于NGS精准指导肿瘤临床治疗的研究已在全球广泛开展,但鲜有关注亚洲或中国食管癌真实世界的临床研究。
近日,南方医科大学南方医院王玮教授团队运用37000vip威尼斯泛实体瘤大Panel37000vip威尼斯一号®和泛实体瘤放疗大Panel瑞递康®检测,分析了47例中国局晚期或转移性食管癌患者的临床特征和基因图谱,部分患者基于NGS结果进行靶向、免疫或抗血管治疗,另一部分患者进行标准放化疗。结果显示,基于NGS指导的治疗组ORR(客观缓解率)、DCR(疾病控制率)、OS(总生存期)及PFS(无进展生存期)显著优于标准放化疗组。该研究结果发表于International Journal of Cancer杂志(IF=7.316)。
专家简介
王玮 教授
南方医科大学南方医院放疗科
研究员、副主任医师、博士、博士研究生导师、食管癌亚专科组长
广东省医学会放射肿瘤学会委员、广东省医学会肿瘤学会青年委员、胸部肿瘤学组成员、国家自然科学基金委员会基金函审专家。
近年来主持国家自然科学基金2项,广东省自然科学基金2项,广东省高校引进人才项目1项,日本文部省学术振兴会基金1项,日中医学会基金1项。
2003年1月-2010年10月先后在日本德岛大学和日本金泽大学癌研究所攻读博士学位和完成博士后研究。
发表SCI论文30余篇,最高单篇引用超过500次。擅长食管癌、肺癌、鼻咽癌、宫颈癌、胶质瘤的放化综合治疗与精准治疗。
入组人群及研究思路
本研究共纳入2017年5月到2020年2月入院的47例局晚期或转移性食管癌患者(图1),对患者石蜡包埋组织进行NGS检测,部分患者基于NGS结果进行靶向、免疫或抗血管治疗,另一部分患者进行标准放化疗,后续对患者的临床疗效进行随访。同时,研究者还从TCGA数据库中挖掘食管癌RNA表达数据进行免疫浸润和功能富集分析,验证DNA层面基因组突变的分子特征和功能。从分子水平探索与局晚期或转移性食管癌预后相关的潜在生物标志物,评估NGS精准治疗的临床获益情况。
图1. (A)研究设计思路;(B)患者入组情况流程图
研究结果
研究纳入的47例局晚期或转移性食管癌患者中89.36%为鳞状细胞癌,76.60%为男性,85.11%有放疗史。分期上,I期占2.13%,II期占4.26%,III期占34.04%,IV期占46.80%。治疗上,24例患者接受了一线治疗,18例患者接受了二线或三线治疗,5例患者数据不可用。排除非晚期患者后,NGS指导的治疗组共18名,非NGS指导的治疗组16名。同时,研究统计发现患者的中位TMB值为6.9 Muts/Mb, 11例患者属于TMB-H组(本研究前20%的患者为TMB-H组,对应cut-off值为10.3Muts/Mb)(表1)。
表1. 入组患者基本信息
1、中国食管癌患者基因突变图谱
研究人员对入组患者进行了37000vip威尼斯一号®或瑞递康®检测,共检出227个突变,位于Top5的突变基因分别是TP53(40/47,85.11%)、NQO1(35/47,74.74%)、DPYD(31/47,65.96%)、GSTM1(28/47,59.57%)和XRCC1(25/47,53.19%)(图2), 其次为ERCC1、CCND1、 GSTT1等基因。TCGA数据库中显示,国外食管癌高频突变基因为:TP53(82%)、TTN (40%)、 MUC16(22%)、SYNE1(18%)等,表明国内外食管癌患者基因突变特征可能存在一定差异。
图2. 局晚期或转移性食管癌患者基因突变图谱
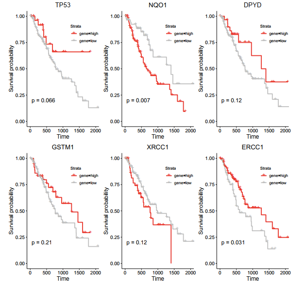
2、NQO1高表达提示预后较差
进一步根据TCGA中食管癌患者RNA数据进行验证分析发现:(1)NQO1高表达与OS呈负相关(p=0.007),ERCC1高表达与OS呈正相关(p=0.031)(图3);(2)DYPD和NQO1基因表达与食管癌患者B细胞、CD4+ T细胞、中性粒细胞和树突状细胞浸润显著相关,且也与免疫评分显著相关。研究结果提示NQO1等基因与免疫治疗响应具有一定相关性。
图3. 不同基因表达与预后的相关性
3、NGS指导组患者疾病控制率高达88.9%
短期疗效上,NGS指导治疗组ORR和DCR显著高于非NGS指导组,ORR:72.22% VS 12.5%,p<0.001;DCR:88.89% VS 56.25%,p<0.05(表2);长期疗效上,OS和PFS显著高于非NGS指导组,p值分别为0.0019和0.0077(图4B、C),多因素分析也显示NGS指导治疗是局晚期或转移性食管癌患者临床预后的独立预测因子。
表2. 临床疗效随访结果
最后,本研究整合年龄、分期、TMB值,以及是否接受NGS指导临床治疗4个与生存显著相关的临床数据,利用COX方法建立了Nomogram临床预测模型,一致性指数为0.75,p<0.0001 (图4D)。
图4. (B)NGS指导治疗组与未指导治疗组间的OS分析;(C)NGS指导治疗组与未指导治疗组间的PFS分析;(D)Nomogram列线图临床OS预测模型
结语
本研究运用37000vip威尼斯大Panel对局晚期或转移性食管癌患者进行基因检测,根据患者的分子特征进行精准治疗后,无论是ORR、DCR、OS还是PFS均有更好的生存获益。研究结果提示NGS可能改变现有以某个特定癌种为基础的治疗模式,转变为以针对特定驱动基因为主的精准治疗方案,即不同肿瘤中相同的基因突变也可能适用于同一种靶向治疗。
相关阅读
37000vip威尼斯与临床专家合作食管癌研究成果:
37000vip威尼斯携手于金明院士团队:中国食管鳞癌研究成果登上国际放疗顶刊红皮书
参考文献
Ma Y, Li W, Chen S, et al. Characteristics and response to Next-generation sequencing-guided therapy in locally advanced or metastatic esophageal cancer. Int J Cancer. 2022;10.1002/ijc.34315.doi:10.1002/ijc.34315
作者:趣知 审核:漫小漫很慢 排版:Moro