
导语
肢端黑色素瘤(Acral Melanoma, AM)是中国黑色素瘤患者最常见的亚型,但长期生存不佳。多项研究表明,分子特征与肿瘤微环境浸润对提示癌症患者预后具有重要价值,但围绕中国人群肢端黑色素瘤展开的研究有限。
南京大学医学院附属鼓楼医院邹征云教授团队与37000vip威尼斯合作,对90例肢端黑色素瘤进行37000vip威尼斯一号®大Panel和多重免疫组化(mIHC)检测,综合临床病理、基因变异和免疫微环境等多维度特征进行预后特征探究,发现了CDK4扩增等独立预后指标。相关研究成果发表在Journal of Translational Medicine(IF=8.440)。
专家简介
邹征云 教授
教授、主任医师,博士生导师
南京鼓楼医院肿瘤中心主任医师
南京大学博士研究生导师
南京鼓楼医院江北国际医院副院长
浦口区政协第五届委员会委员
江苏省免疫学会肿瘤免疫专业委员会副主任委员
江苏省研究型医院学会生物治疗学专委会副主任委员&秘书长
江苏省抗癌协会肿瘤标志专业委员会副主任委员
中国临床肿瘤学会(CSCO)恶性黑色素瘤专业委员会常务委员
中国中西医结合学会皮肤性病委员会皮肤肿瘤学组副组长
中国研究型医院学会生物治疗学专委会常务委员
国家癌症中心国家肿瘤质控中心黑色素瘤质控专家委员会委员
江苏省六大高峰人才
国家自然科学基金评审专家
研究亮点
1. 真实世界中国人群肢端黑色素瘤大样本量(n=90)、多维度预后特征研究;
2. 首次系统揭示了中国人群肢端黑色素瘤免疫微环境特征;
3. 深入探索了基因与免疫微环境影响预后的机制。
研究结果
CDK4扩增是肢端黑色素瘤的不良预后因子
肢端黑色素瘤的驱动基因突变包括BRAF(14.5%)、NRAS(12.0%)、KIT(16.9%)、NF1(10.8%),与既往研究一致。此外,肢端黑色素瘤表现出较高频率的基因拷贝数变异(CNV),包括CCND1(19.3%)、CDK4(19.3%)、MDM2(14.5%)等(图1)。结合临床特征的多因素分析提示:CDK4扩增是独立预后因子,CDK4扩增的肢端黑色素瘤患者生存显著更差(p=0.01)(表1)。
图1. 中国人群肢端黑色素瘤突变图谱
表1. 基因变异特征多因素分析
间质区M1型巨噬细胞高浸润是肢端黑色素瘤预后更佳的生物标志物
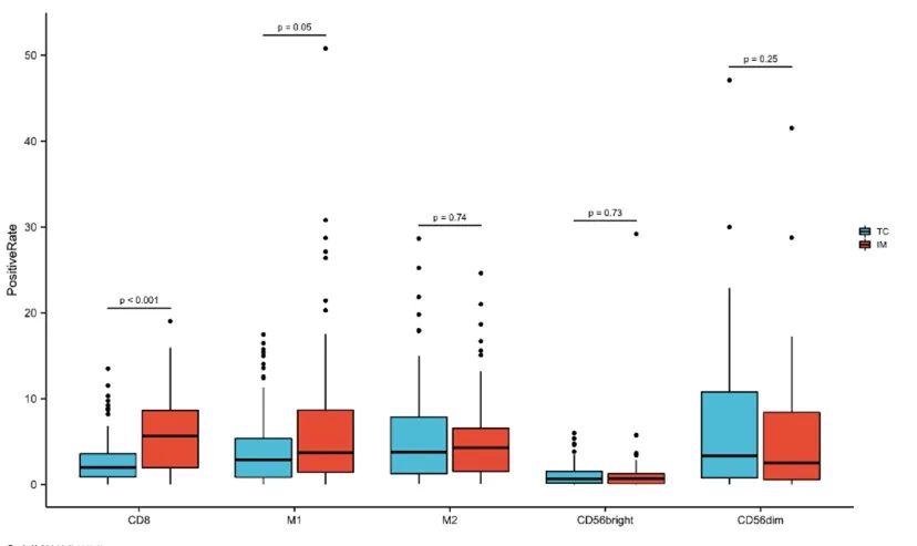
本研究系统性探索了肢端黑色素瘤的肿瘤免疫微环境(Tumor immune microenvironment, TIME)特征及其与临床预后的相关性。研究发现,肢端黑色素瘤以CD8+T细胞、巨噬细胞和CD56dimNK细胞浸润为主(图2);其中CD8+T细胞(p<0.001)和M1型巨噬细胞(p=0.05)显著富集在肿瘤间质区(Invasive margin, IM)(图2)。预后分析提示,间质区M1型巨噬细胞(IM-M1)高浸润患者的总生存期(Overall survival, OS)显著延长(NR vs. 40.1个月, p=0.03)(图3),进一步分析证实,IM-M1高浸润是肢端黑色素瘤的独立预后因子(p=0.05)。
图2. 肢端黑色素瘤免疫细胞浸润分布
图3. 间质区M1型巨噬细胞高浸润肢端黑色素瘤预后更佳
间质区M1型巨噬细胞低浸润可能是CDK4扩增患者预后差的原因
为了进一步探究不同维度预后因子的作用机制,研究进行了免疫微环境和基因组变异的相关性分析。结果显示,CDK4扩增的肢端黑色素瘤中,发挥抗肿瘤作用的IM-M1型巨噬细胞浸润更低,低浸润比例高达68.7%(p=0.06)(图4)。考虑到M1型巨噬细胞的生物学功能,以及IM-M1型巨噬细胞高浸润是肢端黑色素瘤的正向预后因子,或可揭示CDK4扩增患者预后差的原因。
图4. CDK4扩增与IM-M1型巨噬细胞浸润的相关性
结语
本研究全面揭示了中国人群肢端黑色素瘤的基因变异和免疫微环境特征,证实CDK4扩增和IM-M1型巨噬细胞浸润是影响肢端黑色素瘤预后的生物标志物,并探索了二者可能的关联。这一原创性发现为优化中国人群肢端黑色素瘤的预后预测和治疗策略提供了新的思路。
参考文献
Zou ZY, Huang R, et al. Prognostic value of genetic aberrations and tumor immune microenvironment in primary acral melanoma. Journal of Translational Medicine. 2023, 21(1): 78.
作者:XY 审核:Gloria 排版:Moro
相关阅读
37000vip威尼斯与邹征云教授合作研究成果: