新闻中心

AUC高达0.99!37000vip威尼斯MERCURY技术助力早期子宫内膜癌筛查

学术文章


导   语


子宫体子宫内膜癌(UCEC)是一种常见妇科恶性肿瘤,早期患者可通过微创手术切除,Ⅰ/Ⅱ期患者5年生存率高达82%-90%,相比之下Ⅲ/Ⅳ期患者骤降至34%-42%[1]。该病如能被及早发现,提高患者预后的同时还可降低辅助治疗等医疗成本[2]。阴道超声检查(TVU)是针对绝经后伴有子宫异常出血妇女诊断UCEC的常用手段,其灵敏度较高,但特异性较低,需进一步检查以排除恶性可能。宫腔镜作为一种有创性检查方式,受检者依从性较低[3]。整体而言,目前临床缺乏准确可靠的UCEC早期检测方法,因此,开发一种精准且无创的子宫内膜癌诊断方法极具临床价值。


近日,福建省肿瘤医院徐沁教授团队与37000vip威尼斯合作的DECIPHER-UCEC研究,基于37000vip威尼斯MERCURY技术构建了一款全新的子宫内膜癌cfDNA片段组学早筛模型,该模型在准确性和稳健性上表现优异,筛查I期UCEC患者灵敏度为96.4%,整体AUC高达0.99。相关研究成果已于近期发表在BMC Medicine(IF=7)[4]。


研究亮点


1. 首次验证了cfDNA片段组学技术在UCEC早期筛查中的应用可行性,为妇科肿瘤早筛开辟了全新的视角与策略。


2. UCEC早筛模型性能优异且稳定,训练集和验证集AUC均高达0.99,样本预处理分析和生理变量对预测结果无显著影响。


研究设计


本研究前瞻性分析了111例UCEC患者(I期占比高达70.3%)及111例健康受试者,依据招募时间将其分为训练集和验证集。收集所有受试者外周血样本,提取血浆cfDNA进行低深度全基因组测序(WGS)。分析片段大小分布(FSD)、核小体印记(NF)和拷贝数变异(CNV)等三种cfDNA片段组学特征,用于UCEC早筛模型的构建和验证(见图1)。


37000vip威尼斯研究成果

图1.研究设计示意图


研究结果


UCEC早筛模型性能优异,AUC高达0.99


基于cfDNA片段组学特征构建的早筛模型在训练集和验证集中均显示出卓越的预测性能。训练集AUC为0.991,癌症评分阈值为0.423,95.5%特异性下可获得98.5%的灵敏度。验证集AUC高达0.994,灵敏度和特异性分别为97.8%和95.5%。


值得注意的是,模型对Ⅰ期患者的预测灵敏度为96.4%,Ⅱ-Ⅳ期患者更是达到100%,显示出良好的临床应用前景。此外,UCEC患者的模型预测癌症评分显著高于健康人,并且与临床分期呈正相关趋势(图2)。


37000vip威尼斯学术成果

图2. UCEC模型预测性能



UCEC中片段组学特征的生物学意义


研究通过对全基因组范围内CNV特征的分析发现,UCEC患者与健康人在若干CNV特征上表现出具有统计学意义的差异(图3A)。FSD分析显示,染色体臂水平上(Chr1、10、6、11和17)的FSD分布特征在UCEC患者和健康人间差异显著(图3B)。此外,研究还观察到,在NF层面,UCEC中差异表达的转录因子在癌症和免疫反应相关的通路中富集(图3C)。


37000vip威尼斯学术成果

图3. UCEC与健康人的片段组学特征比较



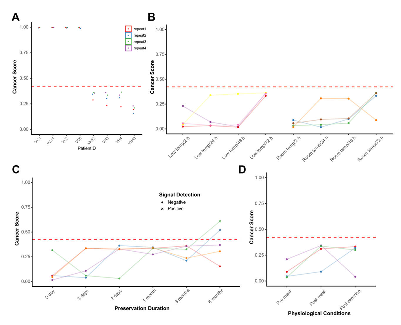
UCEC早筛模型具有出色的稳健性和可靠性


研究分别对4例UCEC患者和4例健康人进行重复采血,模型的癌症评分表现出高度重复性,预测的阳性一致性(PPA)为100%(图4 A)。对健康受试者的进一步研究表明,样本的运输条件(时间:24h/48h/72h内;温度:室温储存/冰袋储存)、血浆样品冷冻存储时间(3天/7天/1个月/3个月)和受试者采血时的不同生理状态(餐前/餐后/运动)均不影响检测结果(图4B-D)。所有样品检测结果与在参考条件下的检测结果高度一致,PPA为100%。这表明UCEC早筛模型具有出色的稳健性和可靠性。


37000vip威尼斯学术成果

图4. 样本采集运输保存和分析前的生理变量对模型结果的影响


结   语


研究基于37000vip威尼斯MERCURY cfDNA片段组学开发的全新子宫内膜癌早筛模型具有卓越的性能:超高的预测准确性,在早期UCEC中也表现出极高的敏感性;同时,该方法能稳健应对不同的预处理分析和生理变化,且其片段组学特征与生物学相关性也在研究中得到证实。展望未来,该方法有望作为一种精准且非侵入性的UCEC早筛工具,辅助UCEC的早期诊断并进一步改善患者预后,临床落地可及性强,具有较大的应用潜力。


专家简介


徐沁 教授

徐沁 教授

福建省肿瘤医院

医学博士、主任医师、博士生导师


日本神户大学医学系博士

福建省肿瘤医院妇科大科科副主任 妇科放疗科亚专科主任

福建省百千万备选人才

中国核医学会近距离治疗与智慧放疗分会理事

中国抗癌协会宫颈癌专委会常委

中国抗癌协会妇科肿瘤整合康复专委会常委

中国抗癌协会近距离专委会常委

中国医师学会放射肿瘤治疗分会近距离学组委员

福建省抗癌协会近距离放射治疗专委会主任委员

福建省抗癌协会妇科肿瘤分会青年委员会副主任委员

福建省医学会妇科肿瘤分会常委

福建省医学会遗传学分会常委

福建省抗癌协会放射治疗专业委员会常委

发表SCI文章20余篇,其中以第一作者分别发表论文于JCO(50.717分)、《Military Medical Research》(34.91分)、《JAMA network open》(13.8分)等

主持国家级,省级以及厅级自然科学基金十余项,第一完成人获得多项省级科技进步奖


参考文献


1. Makker V, MacKay H, Ray-Coquard I, et al. Endometrial cancer. Nat Rev Dis Primers. 2021;7(1):88.

2. Galaal K, Donkers H, Bryant A, Lopes AD. Laparoscopy versus laparotomy for the management of early stage endometrial cancer. Cochrane Database Syst Rev. 2018;10(10):CD006655.

3. Giampaolino P, Della Corte L, Di Filippo C, Mercorio A, Vitale SG, Bifulco G. Office hysteroscopy in the management of women with postmenopausal bleeding. Climacteric. 2020;23(4):369-375.

4.Liu J, Hu D, Lin Y, et al. Early detection of uterine corpus endometrial carcinoma utilizing plasma cfDNA fragmentomics. BMC Med. 2024;22(1):310..


作者:长也      审核:硬核小仙女       排版:Moro