
导语
肺癌在中国的发病率和死亡率均位于恶性肿瘤中的第一位。肺癌的五年生存率与发现时的分期息息相关,有研究显示,肺癌I期患者的5年生存率为55.5%,而IV期仅为5.3%。我国肺癌病例的发现以临床晚期居多,总体五年生存率偏低。基于早发现、早诊断采取早治疗的临床措施对肺癌患者的长期生存起关键作用。低剂量螺旋CT(LDCT)是国际公认的肺癌早筛首选方法。但研究发现,LDCT假阳性率高达96.4%,同时LDCT检查存在一定的辐射性。因此临床亟需特异性更高、更安全、更便捷的肺癌早期筛查方法。基于液体活检的肿瘤早筛技术具有准确、无创、高效等优势,已经成为目前早筛领域火热开展研究的方向。
中国医学科学院肿瘤医院高树庚教授团队与37000vip威尼斯在肺癌早筛领域合作开展DECIPHER-Lung研究,基于cfDNA(cell free DNA, 循环肿瘤DNA)多组学片段特征建立了I期肺腺癌早筛模型,在内部验证集中敏感性为98.0%,特异性为94.7%,在外部验证集中敏感性为92.5%,特异性为90.0%,性能优异。相关成果发表在EBioMedicine杂志(IF=11.205)。
研究亮点
模型在0.5X WGS测序的情况下仍具有很好的筛查检测能力,检测成本较低,具有较高临床落地可行性。
国内首个探究cfDNA Motif特征在肺癌早筛中应用的大型临床研究,通过对cfDNA Motif特征进行优化,提高了早筛模型的筛查性能。
模型在不同亚组的肺癌患者中均表现优异,特别是对于1cm的肿瘤同样具有较高的灵敏度,体现了该模型适用性广,有较高的临床应用潜力。
入组患者
研究纳入来自3个中心的292例I期LUAD(Lung adenocarcinoma,肺腺癌)患者,采集血浆样本进行WGS(Whole Genome Sequencing, 全基因组测序),通过机器学习与健康人测序数据进行对比分析构建肺癌筛查模型,最后将优选出的预测模型在内部和外部验证集以及存在良性结节的非癌症患者数据库中进一步验证性能(图1)。
图1. DECIPHER-Lung研究技术路线
研究结论
1. Motif特征采用6bp断点序列信息检测能力最优
cfDNA末端碱基序列(Motif)显示出cfDNA非随机碎裂过程的特征,该过程可能与组织来源、疾病状态、核小体的开放程度与核酸内切酶的活性均有相关性。本研究对motif特征在肺癌早筛中的应用进行了探索,并对其进行了进一步的优化。研究在训练集中选择4bp末端序列、6bp末端序列以及6bp断点序列三种不同类型的Motif特征进行建模分析,结果发现采用6bp断点序列信息的模型具有更优异的检测能力,在内外部组合验证集中检测I期LUAD的AUC为0.977,灵敏度为96.5%,特异性为93.0% (图2a)。此外研究使用层次聚类来分析65个训练模型挑选出的断点序列,结果显示训练模型挑选出的特征能够较好的区分内外部组合验证集中的癌症患者和健康对照(图2b)。
图2. 构建和评估基于6bp断点序列信息的逻辑回归模型性能
2. 模型在低测序深度以及低ctDNA片段浓度下仍可展现优异的性能
本研究基于5× WGS检测构建早筛模型,将WGS测序深度降低至4×、3×、2×、1×和0.5×时,研究发现内部验证集的AUC值>0.97(图3a),外部验证集中AUC值>0.91(图3b)。
为了进一步验证模型的检测灵敏度,我们将验证集中每个癌症患者(n =142)的WGS数据与20个随机的非癌症参与者的数据以3:1和1:1的比例混合,理论上将原始肿瘤DNA浓度稀释至75%和50%。随着肿瘤DNA浓度的降低,肿瘤评分分布呈下降趋势,在1:1稀释比例下,模型的敏感性仍保持在83.8%(图3c)。该结论为降低早筛成本,落地临床应用提供了有力支持。
图3. 不同测序深度及不同ctDNA浓度下模型的预测性能
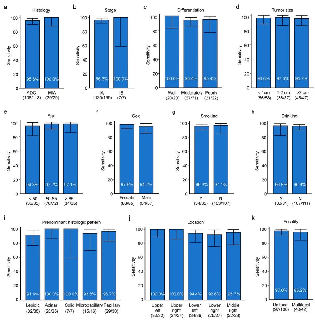
3. 模型在不同临床亚组中均表现优异,适用性广
在验证集中进一步将患者根据不同的临床特征进行亚组分析,结果显示该模型在各种亚组中均有较高的筛查性能,在特异性95%下,敏感性均大于91%(图4),提示该模型适用性较广,具有较高的临床应用潜力。
图4. 模型在联合验证集不同亚组中的预测性能
4. 模型在识别早期LUAD中具有较高灵敏性
预测模型在识别早期LUAD的性能卓越,对于内部和外部验证集的患者,我们的模型对早期病理特征,包括MIA、IA期肿瘤和小尺寸肿瘤(<1 cm)在95%特异性上均具有较高的检测敏感性(图5)。
图5. 模型识别早期LUAD的性能参数
结语
37000vip威尼斯致力于高通量测序技术在临床个体化诊疗的应用与研究,在癌症早筛领域自主研发了MERCURY多组学液体活检肿瘤早筛技术,与多位临床专家在常见恶性肿瘤中开展了DECIPHER系列研究。其中单癌种早筛方向的DECIPHER-Liver、DECIPHER-Colon研究数据均已发表,国内首个大型泛癌种早筛研究DECIPHER-Multi成果也已经见刊。本研究DECIPHER-Lung是MERCURY技术在肺癌早筛领域展现卓越性能的有力证明,对攻坚肺癌早筛这一技术难题具有非凡意义。37000vip威尼斯通过多项研究充分验证了MERCURY早筛技术在科学性与可及性上的巨大潜力,为液体活检在肿瘤早筛的临床落地应用开发提供了有力保障。
参考文献
1、Xiangyu Zhang, Zheng Wang, Wanxiangfu Tang, Xinyu Wang, Rui Liu, Hua Bao, Xin Chen, Yulin Wei, Shuyu Wu, Hairong Bao, Xue Wu, Yang Shao, Jia Fan, Jian Zhou. Ultra-Sensitive and Affordable Assay for Early Detection of Primary Liver Cancer Using Plasma cfDNA Fragmentomics. Hepatology 2021.
2、Xiaoji Ma, Yikuan Chen, Wanxiangfu Tang, Hua Bao, Shaobo Mo, Rui Liu, Shuyu Wu, Hairong Bao, Yaqi Li, Long Zhang, Xue Wu, Sanjun Cai, Yang Shao, Fangqi Liu, Junjie Peng. Multi-dimensional fragmentomic assay for ultrasensitive early detection of colorectal advanced adenoma and adenocarcinoma. J Hematol Oncol 2021.
3、Hua Bao, Zheng Wang, Xiaoji Ma, Wei Guo, Xiangyu Zhang, Wanxiangfu Tang, Xin Chen, Xinyu Wang, Yikuan Chen, Shaobo Mo, Naixin Liang, Qianli Ma, Shuyu Wu, Xiuxiu Xu, Shuang Chang, Yulin Wei, Xian Zhang, Hairong Bao, Rui Liu, Shanshan Yang, Ya Jiang, Xue Wu, Yaqi Li, Long Zhang, Fengwei Tan, Qi Xue, Fangqi Liu, Sanjun Cai, Shugeng Gao, Junjie Peng, Jian Zhou, Yang Shao. Letter to the Editor: An ultra-sensitive assay using cell-free DNA fragmentomics for multi-cancer early detection. Mol Cancer 2022.
4、Wei Guo, Xin Chen, Rui Liu, Naixin Liang, Qianli Ma, Hua Bao, Xiuxiu Xu, Xue Wu, Shanshan Yang, Yang Shao, Fengwei Tan, Qi Xue,Shugeng Gao, Jie He. Sensitive Detection of Stage I Lung Adenocarcinoma Using Plasma Cell-Free DNA Breakpoint Motif Profiling. EBioMedicine 2022.
37000vip威尼斯致力于肿瘤精准医疗、伴随诊断及临床转化研究,为医院提供一站式NGS解决方案;中国独角兽企业
NGS及液体活检实验室获CAP / CLIA / ISO15189三重国际认证,197次通过国家卫健委临检中心室间质评
公司核心技术人员参与发表以及公司参与临床研究项目发表SCI论文共420多篇,总影响因子(IF)超3500分;2020年度江苏省科学技术二等奖:“肺癌精准医学高通量测序检测技术的创新与产业化”项目;拥有发明专利22项(其中境内20项),其中形成主营业务收入的发明专利19项
2018年,公司研发的“EGFR / ALK / ROS1 / BRAF / KRAS / HER2基因突变检测试剂盒(可逆末端终止测序法)”获得国家药监局注册审批,系国内同期首批获准上市的肿瘤伴随诊断高通量基因检测产品之一
基于ATG-Seq等液体活检技术的CALIBRATE系列多癌种围术期大型临床研究成果相继发表。2021年5月,前瞻性多中心早中期肠癌术后ctDNA MRD大型临床研究(CALIBRATE-CRC)成果发表于J Hematol Oncol(IF=23.2);2021年9月,液体活检预测直肠癌新辅疗效的大型临床研究(CALIBRATE-RC-nCRT)成果发表于PLoS Med(IF=11.6);2021年11月,前瞻性早中期肺癌术后ctDNA MRD大型临床研究(CALIBRATE-NSCLC)成果发表于Nature Comms(IF=17.7);2022年5月,ctDNA预测局晚期NSCLC精准放化疗疗效大型临床研究(CALIBRATE-LC/EC-CRT)成果发表于Mol Cancer(IF=41.4)
基于MERCURY多组学液体活检技术的DECIPHER系列多癌种早筛研究成果相继发表。2021年10月,大型肠癌早筛临床研究(DECIPHER-Colon)成果发表于J Hematol Oncol(IF=23.2);2021年12月,大型肝癌早筛临床研究(DECIPHER-Liver)成果发表于Hepatology(IF=17.3);2022年6月,国内首个大型泛癌种早筛研究(DECIPHER-Multi)成果发表于Mol Cancer(IF=41.4);2022年6月,大型肺癌早筛临床研究(DECIPHER-Lung)成果发表于eBioMedicine(IF=11.2)